中咨視界
劉義成 | 混合整數規劃在項目群投資決策中的應用研究
| |||||
| |||||
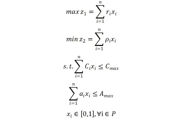
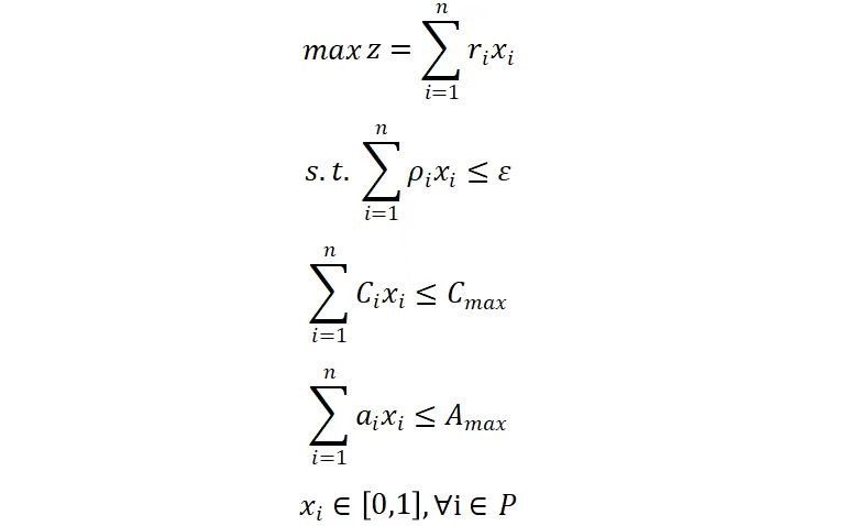
混合整數規劃 在項目群投資決策中的應用研究 劉義成 摘要:在高質量發展背景下,為支撐重大戰略落地、提升資金使用效益等,政府和企業通常會面臨多項目組合優化的投資決策問題。本文以多目標混合整數規劃為建模工具,構建一個以項目年均收益最大化為主要目標、失敗風險最小化為次要目標的項目群優化決策模型,通過引入ε-約束法將項目失敗風險作為約束條件納入模型體系,采用分支定界法對模型進行精確求解,并通過Python與CBC工具實現數值模擬。研究結果驗證了混合整數規劃模型在多目標與復雜資源約束條件下的應用價值,為政府或企業開展項目群投資決策提供了定量化分析借鑒。 關鍵詞:項目群投資;混合整數規劃;ε-約束法;分支定界法;優化決策 一、引言 當前,我國經濟和社會發展已進入高質量發展階段,在創新驅動發展、構建現代化產業體系、因地制宜發展新質生產力等重大戰略的引導下,政府、企業集團等市場主體的項目投資呈現多元化、集群化、系統化的發展趨勢,其中,項目群投資決策優化成為需要關注的熱點問題,也是固定資產投資決策管理的難點問題[1]。項目群是由若干具有內在聯系、資源共享或協同效應的投資項目組合,在當前高質量發展背景下,無論是政府開展的基礎設施投資、產業園區建設,還是大型企業集團開展戰略性投資,通常都會面臨多項目備選、多目標權衡、資源優化配置的復雜決策環境,如在資金、土地等資源限制下,風險與收益平衡的問題。 傳統的多項目投資決策問題,主要依賴專家咨詢法、層次分析法、凈現值法、多準則決策方法等,例如,M Kandakoglu等[2]研究不同多準則方法及其與數學規劃技術聯合在項目組合選擇中的應用;Hui Sun等[3]以BOT高速公路項目為對象,從財務角度計算了具有真實約束的最優投資組合,這些方法在處理當前創新驅動發展下的基礎設施規劃、產業集群建設等眾多項目備選的復雜場景時會顯得較為困難。 二、模型建立 目前,在多目標混合整數規劃建模研究方面,主要集中在供應鏈優化、能源管理等領域,如Teh等人[5]通過構建多目標混合整數線性規劃模型,研究棕櫚油生物質廢棄物轉化為高收率生物油涉及的年化總利潤和全球變暖潛力權衡問題。Jabarzadeh等[6]通過構建可持續水果閉環供應鏈網絡的多目標混合整數線性模型,同時考慮經濟、環境和社會指標,即最小化網絡總成本和不同網絡活動的二氧化碳排放量,同時最大化對需求的響應度同時納入模型,并采用加權Tchebycheff方法求解Pareto最優解。資源約束下的項目群多目標選擇優化問題,核心是在多重約束條件下,選擇哪些備選項目,在最大化投資收益的同時,確保整體風險在可容忍的限制范圍內。 (一)假設與參數定義 1.基本假設 (1)項目均為獨立單元,可被投資或不被投資; (2)已知年均收益、投資額、占地面積、失敗風險等指標參數; (3)項目失敗風險獨立,可簡單加和為整體風險水平; (4)項目間不考慮互斥或互補效應; (5)投資為單一決策,不考慮動態分期; (6)組合優化為一次求解,不考慮實時反饋機制。 2.參數定義 設項目集合 ,每個項目具有如下屬性變量: 表1 項目屬性變量表 (二)混合整數規劃模型構建 模型目標包括年均收益最大化的主目標和風險失敗風險最小化的次目標,數學表達式如下: 三、算法求解 混合整數規劃屬于NP-Hard類問題,主要有近似(啟發式)算法和精確算法兩類求解策略。近似(啟發式)算法是在問題規模較大或計算資源有限時,能夠快速找到接近最優的可行解,例如遺傳算法、模擬退火等,例如,張毅等[7]針對行調沖突的大型高鐵站到發線運用優化問題,構建到發線運用多目標優化模型,設計改進遺傳算法進行求解。精確算法即能夠找到全局最優解,例如分支定界法、分支切割法。本研究選擇使用精確算法,即分支定界法,求得真正意義上的最優投資組合。 1.ε約束法 ε約束法由Haimes等人在1971年提出,是一種經典的多目標優化策略,適用于目標函數可解耦的情況,核心思想是保留一個目標函數作為主目標,其余目標函數轉化為約束形式,并設置“ε”作為可接受上限或下限。例如,文獻[8-10]分別研究了基于模型的ε-約束法在車輛服務設施選址、考慮跑道復雜依賴關系的多目標飛機排序、震后初期多品種應急物資動態分配等領域的Pareto最優解集。通過引入ε約束法,本文構建的模型可以轉化為: 2.分支定界法 分支定界法(Branch and Bound)是一種系統性搜索算法,適用于解決混合整數規劃問題,例如,Luo Jianchao等[11]針對由放置定時Petri網建模的易死鎖柔性制造系統的調度問題,基于網模型的分支樹和高度允許的死鎖控制器,提出了一種隨時分支和約束(AB&B)算法,以最大限度地減少系統工期。利用分支定界法,求解的主要步驟包括:對原問題進行松弛求解獲得參考解,即忽略整數約束;若參考解為整數,則為可行解;若參考解非整數,則選擇一個非整數變量進行“0-1”分支;對兩個子問題分別繼續遞歸求解,并通過求上下界進行定界,以判斷是否繼續分支或剪枝。該方法保證在有限時間內搜索完所有可能組合,并返回全局最優解。 在本文構建的模型中,每個項目是否選擇由決策變量 四、算例分析 為檢驗上述模型建立和算法求解的有效性,運用PuLP調用內置分支定界法的CBC求解器,進行模擬計算。 1.算例構造 算例中的單個項目參數設置:投資強度,即項目投資額/占地面積,為300—800萬元之間的任意值;項目占地面積為30-200畝之間的任意值;年均收益/投資額為0.1-0.3之間的任意值;失敗風險為0.1-0.5之間的任意值。算例約束條件為:總投資額不超過30億元,占地面積不超過500畝。依照項目參數設置,隨機生成10個項目的算例參數值如下表: 表2 算例參數值 2.算例求解 基于模型建立和算法求解的思路,使用Python編程語言構建求解流程。核心代碼結構包括:載入項目數據,構造參數字典;對每個ε值設定0.2-0.5之間不同的失敗風險值;對每個ε值構建并求解一個混合整數規劃問題;輸出所選項目組合、投資總額、總收益失敗風險與占地面積。結果如下表: 表3 算例解集 五、結論 混合整數規劃方法在項目群投資決策問題中具有顯著優勢,其能夠有效處理多目標沖突和多資源約束條件下的項目組合優化問題。通過引入ε-約束法,可以平衡項目收益和風險相沖突問題,而采用分支定界法則能顯著提升大規模項目組合優化問題的求解效率。該方法在當前政府預算內投資決策、企業戰略性投資規劃等復雜場景中具有良好的適用性。 參考文獻 [1]錢唯克,陳啟昉,童林白.基于投資導向決策的項目群優選[J].經營與管理,2019,(09):40-43. [2]M. K ,G. W ,S. B.The use of multi-criteria decision-making methods in project portfolio selection: a literature review and future research directions[J].Annals of Operations Research,2023,332 807-830. [3]Sun H ,Liang Y ,Wang Y , et al.An Optimal Investment Portfolio for BOT Freeway Projects from the Perspective of Transportation and Construction Enterprises[J].KSCE Journal of Civil Engineering,2021,25 1-14. [4]Xu R ,Li S ,Wu J.Multi-Trip Vehicle Routing Problem with Time Windows and Resource Synchronization on Heterogeneous Facilities[J].Systems,2023,11 412-. [5]Chyi K T ,Jully T ,Leng M I C.Multiple Biogenic Waste Valorization via Pyrolysis Technologies in Palm Oil Industry: Economic and Environmental Multi-objective Optimization for Sustainable Energy System[J].Process Integration and Optimization for Sustainability,2023,7 847-860. [6]Jabarzadeh Y ,Yamchi R H ,Kumar V , et al.A multi-objective mixed-integer linear model for sustainable fruit closed-loop supply chain network[J].Management of Environmental Quality An International Journal,2020,ahead-of-print 1351-1373. [7]張毅,李季濤,孫婉婷,等.考慮行調沖突的大型高鐵站到發線運用優化研究[J].鐵道運輸與經濟,2025,47 (03):111-121. [8]陳可嘉,司徒騰寬,林鴻熙.考慮跑道復雜依賴關系的多目標飛機排序模型[J].南京航空航天大學學報,2023,55(06):1025-1032. [9]李曉萍,盧葛鋒,胡青蜜.震后初期多品種應急物資動態分配模型研究[J].江蘇科技大學學報(自然科學版),2023,37 (05):79-86. [10]吳鵬,艾俊.時變需求下多周期車輛服務設施選址多目標優化[J].工業工程與管理,2023,28 (06):164-173. [11] Jianchao L ,Mengchu Z ,Qiang J W.AB&B: An Anytime Branch and Bound Algorithm for Scheduling of Deadlock-Prone Flexible Manufacturing Systems[J].IEEE TRANSACTIONS ON AUTOMATION SCIENCE AND ENGINEERING,2021,18 2011-2021. | |||||
相關鏈接
- 中國國際工程咨詢有限公司系統開發...2025-05-09
- 中咨公司受邀參加國際項目管理協會...2024-10-10
- 中國國際工程咨詢有限公司數字化建...2024-01-04
- 中咨(北京)項目管理發展有限公司2023-02-09
- 氣脈貫通跨神州 溫暖送到千萬家:...2022-12-28




